为进一步做好2021-01期入党积极分子党课培训工作,按学校党委要求,av影片
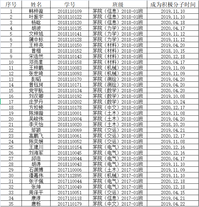
党总支认真开展入党积极分子推荐选培工作,经团支部推荐、党支部考核,特将2021-01期入党积极分子党课培训名单公示如下:
若对上述结果存有异议,请于三个工作日内向年级辅导员处反映,恕不接受匿名形式。

特别提示:
鉴于培训选课时出现的退课、调课等情况,请每一位获得选培资格的学生:
1.教务处统一导入名单后,本科生的选课清单中会自动生成课程《中国共产党基础知识》,因报送的学号与姓名信息不一致而无法及时选课的将参加下期培训,请务必核对清楚。请不要删除课程和调整班级,否则将影响党课成绩认定;
2.具体课程安排根据排将由学院分党校另行通知。
3.请获得选培资格的学生严格遵守学院分党校培训纪律,认真参加党课学习,不得迟到、早退。
av影片
党总支
2021年3月31日